Saturday, November 05, 2022

Keeping Omicron infection risk low requires room ventilation rates 50 times greater

Peer-Reviewed Publication

TSINGHUA UNIVERSITY PRESS

Keeping Omicron infection risk low requires room ventilation rates 50 times greater 

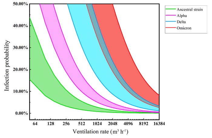
IMAGE: FIGURE SHOWING THAT THE RISK OF INFECTION FOR A GIVEN RATE OF VENTILATION (CUBIC METERS OF AIRFLOW INTO A ROOM OR BUILDING PER HOUR) HAS SHARPLY INCREASED AS NEW SARS-COV-2 VARIANTS HAVE EMERGED. view more 

CREDIT: BUILDING SIMULATION, TSINGHUA UNIVERSITY PRESS

With SARS-CoV-2 variants continuing to evolve, building scientists and air quality specialists have assessed the ventilation rates of rooms required to keep the risk of infection under one percent, concluding that Omicron and its sublineages require ventilation some 50 times greater than the virus did when humanity first encountered it in the spring of 2020.

 

The researchers reported their findings in a paper published in the journal Building Simulation on October 19.

 

Vaccines against the SARS-CoV-2 virus that causes COVID-19 have delivered a scientific miracle, radically reducing the mortality and illness associated with the disease. But, as the World Health Organization warned in its July 2022 update on the pandemic, sublineages of the Omicron variant of concern continue to evolve and the overall global risk of infection from SARS-CoV-2 variants remains very high.

 

It is in this context that the researchers aimed to assess how the risk of airborne transmission of the virus in confined spaces has changed from the ancestral strain that emerged in 2020 to the three descendent strains that have dominated at various times over the course of the pandemic: Alpha, Delta, and, currently, Omicron.

 

Despite the manifest benefits of vaccination, the researchers suspected that the risk of airborne transmission in confined spaces might be higher, and so the corresponding precautions regarding ventilation needed to be re-appraised.

 

The researchers obtained the quantum generation rate value, or ‘q’ of three SARS-CoV-2 variants (Alpha, Delta, and Omicron). The word quantum in this case has nothing to do with quantum physics, but refers instead to the minimum dose of virus particles (‘virions’) necessary to cause an infection. And the quantum generation rate describes how many quanta are produced per hour by an infectious person.

 

The q value has steadily increased over time (contributing to increased transmissibility). The ancestral SARS-CoV-2 strain had a q value of 14–48 quanta (or doses) per hour. The researchers calculated that the Alpha variant had a q of 89–165 quanta (or doses) per hour; the Delta variant had a q of 312–935 quanta per hour; and the Omicron variant has a q of 725–2,345 quanta per hour.

 

The researchers then plugged these q values into what is called the Wells-Riley equation—a simplified, fast calculation that estimates how likely an individual is likely to become infected from airborne transmissible diseases at different rates of ventilation in a room or building.

 

The ventilation rate is defined as the rate at which fresh air flows into a room or building, measured in cubic meters per hour.

 

Wells-Riley assumes that the greater the q and lower the ventilation rate, the greater the risk of infection for a given period of time. Thus increasing the period of time spent in that room or building increases the risk further. All buildings are different and so many additional variables will alter the real-world q value, but the Wells-Riley equation offers a usable, raw estimation for the average building.

 

The number that pops out from the calculation tells you what ventilation rate keeps the risk of infection below one percent for a given q value per hour.

 

The Wells-Riley calculation for the ancestral strain of the virus produced suggested that for an individual to have under one percent chance of being infected, the room or building had to enjoy a ventilation rate of 100–350 cubic meters per hour if the individual was in there for 15 minutes, and 1200–4000 cubic meters per hour if in there for three hours.

 

The researchers found that for all three variants of concern, ventilation rates had to increase substantially to ensure an infection probability of under one percent.

 

For Alpha, this meant ventilation rates of 650–1,200 cubic meters per hour for 15 minutes of exposure, and 8,000–14,000 cubic meters per hour for three hours of exposure.

 

For Delta, the rate jumped up further still, to 2,200–6,800 cubic meters per hour for 15 minutes, and 26,000–80,000 cubic meters for three hours.

 

For the Omicron variant (not distinguishing between sublineages), the ventilation rate hit 5,400–17,000 cubic meters per hour for 15 minutes and 64,000–250,000 cubic meters per hour for three hours.

 

“Without any additional measures, this means the Alpha variant requires a ventilation rate some four times aggressive than the ancestral strain,” said Bin Zhao, professor at Tsinghua University in Beijing, “while the Delta and Omicron variants require ventilation rates roughly 20 times and 50 times greater. This is difficult to meet for actual building engineering.”

 

However, the good news is that if both the infected person and the susceptible person are wearing N95 masks, the ventilation rate required to keep the risk of infection to under one percent decreases to about one hundredth of these reported values.

 

The researchers also found that air purifiers were ineffective in reducing transmission when used in scenarios without N95 masks.

 

This means that preventing prolonged exposure time in confined spaces remains critical in reducing the risk of airborne transmission of SARS-CoV-2.

 

###

 

About Building Simulation

 

Building Simulation: An International Journal publishes original, high quality, peer-reviewed research papers and review articles dealing with modeling and simulation of buildings including their systems. The goal is to promote the field of building science and technology to such a level that modeling will eventually be used in every aspect of building construction as a routine instead of an exception. Of particular interest are papers that reflect recent developments and applications of modeling tools and their impact on advances of building science and technology.

 

About Tsinghua University Press

 

Established in 1980, belonging to Tsinghua University, Tsinghua University Press (TUP) is a leading comprehensive higher education and professional publisher in China. Committed to building a top-level global cultural brand, after 41 years of development, TUP has established an outstanding managerial system and enterprise structure, and delivered multimedia and multi-dimensional publications covering books, audio, video, electronic products, journals and digital publications. In addition, TUP actively carries out its strategic transformation from educational publishing to content development and service for teaching & learning and was named First-class National Publisher for achieving remarkable results.

No comments: