Monday, August 29, 2022

Chinese scientists reported the thermophysical properties of lunar farside regolith with the first in-situ temperature measurement by Chang’E-4 mission

Peer-Reviewed Publication

SCIENCE CHINA PRESS

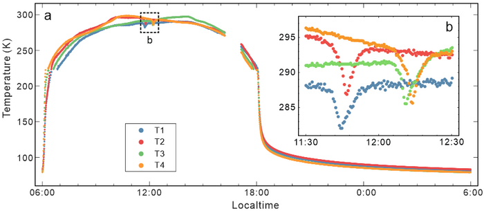
The temperature variation at the CE-4 landing site obtained during the third lunar day (between about Feb 27, 2019 and March 29, 2019, Beijing Time) after landing 

IMAGE: (A) THE COLORED SCATTER PLOTS REPRESENT THE REGOLITH TEMPERATURE MEASUREMENT BY THE CE-4 TEMPERATURE PROBES. (B) THE TEMPERATURE MEASURED NEAR THE LUNAR NOON. view more 

CREDIT: ©SCIENCE CHINA PRESS

Lunar regolith is a layer of loosely-packed rocky grains deposited on the lunar surface, whose physical and chemical properties are important for deciphering the geologic history and lunar spacecraft design. Probing the thermal conductivity of the lunar regolith has drawn a lot of attention since the Apollo era. Early measurements focused on the Apollo regolith samples, but the experimental data were available only at a few landing sites at the nearside.

The CE-4 spacecraft landed at 45.4446°S, 177.5991°E, on the floor of Von Kármán crater, on January 3rd, 2019. After landing, the Yutu-2 rover was released via the deployed two rails. Four temperature probes beneath the terminals of the rails began to measure the temperature of the local regolith every 900 seconds. “It was awesome to have contact temperature measurements of the far side regolith for the first time (Figure 1)”, says Dr. Jun Huang from China University of Geosciences in Wuhan, one of the leaders of this study.

The team found the particle size of the lunar regolith at the CE-4 landing site to be ~15 μm on average over depth, which indicates an immature regolith below the surface. In addition, the conductive component of thermal conductivity is measured as ~1.53×10-3 W m-1 K-1 on the surface and ~8.48×10-3 W m-1 K-1 at 1-m depth. The average bulk density is ~471 kg m-3 on the surface and ~824 kg m-3 in the upper 30 cm of lunar regolith (Figure 2).

“These results will provide important additional ‘ground truth’ for the future analysis and interpretation of global temperature observations. It will also shed lights on the design for future in-situ temperature and heat flux probes” Huang says.

Mr. Xiao Xiao, a PhD candidate at China University of Geosciences, and Dr. Shuoran Yu from Macau University of Science and Technology, together with Dr. Jun Huang, made the plan to analyze the temperature measurements. The study lasted over 2 years from 2020, interrupted several times by the Covid pandemic. “It was a difficult time to build the thermal model, but I enjoyed it,” says Xiao. It is very time-consuming to run the thermal model even with the high-performance cluster in Planetary Science Institute of China University of Geosciences, Wuhan.

Xiao and Yu processed the data and carried out the thermophysical modelling. Ms. He Zhang is the Executive Director of the Chang’E-4 (CE-4) mission and Dr. Youwei Zhang is the principal investigator of the temperature measurement system. Ms. Zhang and Dr. Zhang provide the temperature data and important information of the temperature probes. All the authors contributed to the writing of the manuscript.

CAPTION

(a) The minimum, average and maximum temperature profile from the surface to the depth of 1 m with a surface pressure of 80 Pa. (b) The bulk density profile from the surface to the depth of 1 m corresponding to the minimum, average and maximum temperature in (a) without surface pressure. (c) The conductive component of thermal conductivity profile from the surface to the depth of 1 m corresponding to the minimum, average and maximum temperature in (a) without surface pressure.

CREDIT

©Science China Press

See the article:

Thermophysical properties of the regolith on the lunar farside revealed by the in-situ temperature probing of Chang’E-4 mission

https://doi.org/10.1093/nsr/nwac175

No comments: