Stock market turbulence linked to increased risk of heart attacks, strokes, and suicide: A groundbreaking study analyzes 12 million deaths
image:
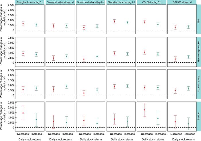
The percentage changes in cause-specific mortality risk associated with a 1% increase or decrease in daily stock returns for the Shanghai Index, Shenzhen Index, and Shanghai and Shenzhen 300 Index (CSI 300) at lag 0 d and lag 1 d.
view moreCredit: Ya Gao et al.
In a recent study published in Engineering, a team of Chinese researchers has uncovered a startling correlation between stock market volatility and the risk of major adverse cardiovascular events (MACEs) and suicide. The research, which analyzed over 12 million deaths across China from 2013 to 2019, provides compelling evidence that the psychological stress induced by stock market fluctuations has severe and immediate health implications.
The study, titled “Stock Volatility Increases the Mortality Risk of Major Adverse Cardiovascular Events and Suicide: A Case-Crossover Study of 12 Million Deaths,” is a wake-up call for investors, policymakers, and the healthcare community. It demonstrates that both increases and decreases in daily stock returns are associated with a heightened risk of mortality from MACEs and suicide, with the risk being most pronounced among individuals aged 65–74, males, and those with lower education levels.
Leveraging an individual-level time-stratified case-crossover design, the researchers examined the impact of daily stock volatility, including daily returns and intra-daily oscillations for three kinds of stock indices. The study's findings indicate that a 1% decrease in daily returns is associated with a 0.74%–1.04% increase in mortality risks of MACEs and a 1.77% increase in suicide risk. Similarly, a 1% increase in daily returns and intra-daily stock oscillations correspond to risk increments of 0.57%–0.85% and 0.67%–0.77%, respectively.
Stock markets are critical for economic growth, serving as platforms for capital raising and wealth generation. However, the volatility inherent in these markets can lead to significant psychological distress among investors. The study’s findings suggest that the stress from stock market volatility is not just a financial concern but a public health issue that requires immediate attention.
The research highlights the need for targeted health education and mental support, especially during periods of market instability. It also calls for government and public awareness campaigns to mitigate the cardiovascular and mental health risks associated with stock market volatility.
As stock markets continue to be a significant part of the global economy, understanding and addressing the psychosocial impact of stock market volatility is essential. The study’s findings provide a foundation for developing effective interventions and support systems to protect the health of investors and the broader population.
The paper “Stock Volatility Increases the Mortality Risk of Major Adverse Cardiovascular Events and Suicide: A Case-Crossover Study of 12 Million Deaths,” authored by Ya Gao, Peng Yin, Haidong Kan, Renjie Chen, Maigeng Zhou. Full text of the open access paper: https://doi.org/10.1016/j.eng.2024.05.010. For more information about the Engineering, follow us on X (https://twitter.com/EngineeringJrnl) & like us on Facebook (https://www.facebook.com/EngineeringJrnl).
Journal
Engineering
Article Title
Stock Volatility Increases the Mortality Risk of Major Adverse Cardiovascular Events and Suicide: A Case-Crossover Study of 12 Million Deaths

No comments:
Post a Comment