Thursday, November 28, 2024

Tropical Indian Ocean warming: A key player shaping the Hadley Circulation



Science China Press
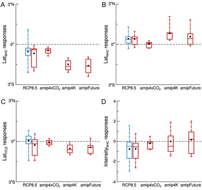
The impacts of CO2 radiative forcing versus ocean warming on the Hadley circulation and the ITCZ. 

image: 

Researchers focus on changes in (A) Southern and (B) northern Hadley cell extent (LatSHC and LatNHC), (C) ITCZ position (LatITCZ), and (D) Northern Hadley cell intensity (IntensityNHC; units, 1010kgs-1) during boreal winter (December-January-February, DJF).

view more 

Credit: ©Science China Press




The Role of Hadley Circulation and Its Recent Changes

The Hadley Circulation (HC) plays a crucial role in distributing heat and moisture around the planet. Over recent decades, surface warming has caused the HC to expand poleward, expanding subtropical arid zones toward mid-latitudes and impacting ecosystems. This trend has become a topic of public concern, prompting the Intergovernmental Panel on Climate Change (IPCC) to dedicate sections of its reports to HC’s changes and their impacts. While there is a consensus that HC may weaken and continue expanding under climate change, substantial uncertainties persist in future projections.

Understanding the Impacts of Rapid Ocean Warming on Climate

With sea surface temperatures (SST) reaching record highs and projected to rise further due to greenhouse gas emissions, scientists are keen to understand how these changes will affect climate systems. The CLIVAR program of the World Climate Research Program’s (WCRP) has highlighted this issue, emphasizing the importance of understanding regional ocean warming effects on HC. However, HC's sensitivity to changes in individual ocean basins remains an open question.

Multi-Model Analysis: Linking SST warming and HC’s Future Changes and uncertainty

By examining a broad range of climate model simulations, researchers have confirmed that the future expansion of the HC, shifts in its ascending branch—the Intertropical Convergence Zone (ITCZ)—and uncertainties in HC intensity are all closely linked to variations in SST (Fig. 1). This result prompted the team to investigate the specific contributions of individual ocean basins to HC changes, uncovering key regional influences of HC behavior and associated uncertainties.

Idealized Warming Experiments: Identifying Critical Ocean Basins Driving Future HC Changes

Through a series of idealized ocean warming experiments, researchers identified the ocean basins most influential in shaping future changes to the HC. By systematically analyzing HC’s responses to incremental warming across various ocean regions, the study identified the tropical Indian Ocean (TIO), tropical Pacific Ocean (TPO), North Atlantic (NA), and South Atlantic (SA) as potentially crucial drivers of future changes in HC and uncertainty (Fig. 2).

Paris Agreement Threshold Simulations: Distinct Basin Responses and Uncertainties

Using 430 large ensemble simulations at warming thresholds of 1.5°C, 2°C, and 3°C, researchers assessed HC’s sensitivity to SST warming patterns in these basins (animated Fig.3). The results revealed distinct responses: TIO warming drives significant HC weakening and a poleward shift, while NA and SA warming affect the ITCZ in opposite directions. TIO and SA warming exert contrasting effects on HC intensity which decreases as TIO warms and increasing with SA warming. Notably, a significant model spread in TPO warming pattern emerged as the main source of uncertainty in HC projections (Fig.4). Finally, the study explained the mechanisms driving HC's different responses to future warming in the four ocean basins (figures omitted; see main text for details).

Innovations and Impacts: Toward Improved Climate Models and Policy Guidance

This study is the first to definitively establish the TIO as the primary driver of HC’s future weakening and poleward shifts, with the TPO as the main source of uncertainty in HC projections. These insights help advance Earth system modeling and strengthen our ability to predict changes in tropical atmospheric circulation. They also provide a scientific basis for monitoring early warnings related to HC changes, which can support key decision-making.

Lead author Dr. Sun Yong from the Institute of Tibetan Plateau Research, Chinese Academy of Sciences (ITPCAS), emphasizes that this study not only elucidates the distinct role of tropical ocean warming in shaping future atmospheric circulation but also contributes to the CLIVAR program's mission. As one of the six core projects under the WCRP, CLIVAR has primarily focused on the impacts of historical climate patterns, such as the Pacific Decadal Oscillation (PDO) and the Atlantic Multidecadal Oscillation (AMO), on regional climates. This study addresses a notable gap by concentrating on basin-specific designs that consider the effects of future ocean warming.

The study, entitled "Tropical Indian Ocean Drives Hadley Circulation Change in a Warming Climate," was led by Dr. Sun Yong (ITPCAS), with contributions from Professor Ramstein Gilles (LSCE), Professor Fedorov Alexey (Yale University), Professor Ding Lin (ITPCAS), and Professor Liu Bo (Chengdu University of Information Technology). The research is published in National Science Review (Paper link: https://doi.org/10.1093/nsr/nwae375).

###

See the article:

Tropical Indian Ocean drives Hadley circulation change in a warming climate

 https://doi.org/10.1093/nsr/nwae375

 (red).

The spatial patterns of projected SST changes at the 1.5°C and 2°C thresholds in the RCP4.5 scenario, as well as the 3°C threshold in the RCP8.5 scenario, are compared to the present-day baseline (1986–2005). These SST patterns serve as forcings for individual ocean basin experiments targeting 1.5°C, 2°C, and 3°C warming thresholds in different CMIP5 models.

No comments: