Wednesday, May 14, 2025

 

A cost-efficient and equitable facility location problem for public service



Beijing Zhongke Journal Publising Co. Ltd.
The cost-efficient and equitable facility location problem (CEEFLP) 

image: 

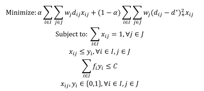
The mathematical model is easy to understand, effective in application, relatively simple to solve, and outperforms the existing equitable location approaches. This model can also be easily extended for other planning scenarios. Image credit: the authors.

view more 

Credit: Beijing Zhongke Journal Publising Co. Ltd.




This study is led by Dr. Yunfeng Kong from the Faculty of Geographical Science and Engineering at Henan University. Dr. Kong and his team are dedicated to geospatial optimization research, focusing on mathematical models, intelligent algorithms, and applications for vehicle routing, facility location planning, and geographic districting. One of their latest research contributions, the Cost-Efficient and Equitable Facility Location Problem (CEEFLP), provides spatially equitable solutions for public service planning.

Delivering quality services in a cost-efficient and equitable manner is critical to the general public. However, according to Dr. Kong, balancing facility costs, travel efficiency, and spatial equity in location planning remains both theoretically and practically challenging. Existing equitable location models are often highly complex, conflict with travel convenience, and/or are computationally intractable.

Dr. Kong and his graduate students proposed a novel location problem to balance travel efficiency and spatial equity in 2023 and extended the model to include facility cost in 2024. “Theoretically, the CEEFLP is a three-objective optimization problem that minimizes facility cost, travel distance, and spatial inequity. We simplified the problem into a bi-objective optimization by combining travel distance and the spatial inequity indicator. Furthermore, we solved the problem by converting the cost objective into a cost constraint,” said Dr. Kong

The effectiveness of the CEEFLP was tested using four well-known benchmark instances, five author-generated instances and five real-world urban and rural instances. Their experimental results demonstrate that the proposed model effectively balances facility cost, travel cost, and spatial equality in site-selection of facilities. Two key findings emerge from the Pareto-optimal solutions: Increasing the facility cost budget can simultaneously reduce travel costs and improve spatial equality. Once the facility cost budget is determined, all spatial equality indicators can be improved with only a slight increase in mean travel distance. 

The authors claim that the CEEFLP is easy to understand, effective in application, relatively simple to solve, and outperforms the existing equitable location approaches, making it a valuable tool for public service planning applications.

 

Six location planning outcomes for an urban area using different location models 

In the six location planning outcomes, each cross symbol represents the location of a service facility, and the colored polygon surrounding the facility represents its service area. Outcome (e) presents the most cost-efficient and equitable solution. Image credit: the authors.

Credit

Beijing Zhongke Journal Publising Co. Ltd.

See the article:

A cost-efficient and equitable facility location problem for public service: Model, algorithm, and benchmark analysis.

https://doi.org/10.12082/dqxxkx.2025.250035

https://www.sciengine.com/JGIS/doi/10.12082/dqxxkx.2025.250035(If you want to see the English version of the full text, please click on the 科大讯飞翻译(iFLYTEK Translation)  in the article page.)

 

No comments: