Monday, September 29, 2025

After schools instituted universal free meals, fewer students had high blood pressure, UW study finds




University of Washington
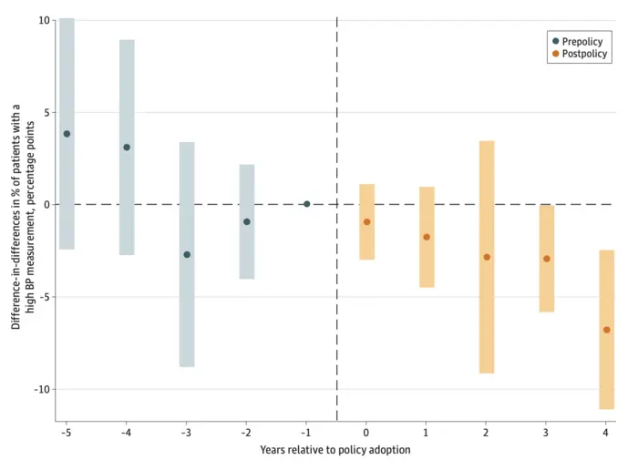
Difference-in-Differences Estimates of the Association of Participation in the Community Eligibility Provision With Percentage of Patients With a High Blood Pressure (BP) Measurement, Aggregated by Years Relative to Policy Adoption 

image: 

Participation in universal free meals was associated with an 11% net decrease in the proportion of patients with high blood pressure over a five-year period. The above chart shows the annual difference in the percentage of students with high blood pressure in participating schools and non-participating schools.

view more 

Credit: University of Washington







In the 10 years since the federal government established the Community Eligibility Provision (CEP), which enabled universal free meal programs for schools in low-income communities, studies have suggested the policy has wide-ranging benefits. Students in participating schools choose lunches with higher nutritional quality, are suspended less frequently and may perform better academically.

Now, as cuts to food assistance programs threaten to slash access to universal school meals, a new study led by the University of Washington finds another potential benefit to the programs: Students in participating schools were less likely to have high blood pressure, suggesting that universal free meals might be a powerful tool for improving public health. 

“High blood pressure is an important public health problem that isn’t studied as much on a population level as obesity,” said Anna Localio, a UW postdoctoral researcher of health systems and population health and lead author of the study. “We have evidence that CEP increases participation in school meals, and we also have evidence that school meals are more nutritious than meals that kids obtain elsewhere. This is a public health policy that is delivering nutritious meals to children who may not have previously had access.”

For the study, published Sept. 25 in JAMA Network Open, researchers linked two datasets that rarely interact. They obtained medical records of patients ages 4-18 from community health organizations, and used patients’ addresses to identify the school they attended. The data encompassed 155,778 young people attending 1,052 schools, mostly in California and Oregon.

Researchers estimated the percentage of students with high blood pressure before and after schools opted into universal free meals, and compared those results against eligible schools that had not yet participated in the program. They also tracked students’ average systolic and diastolic blood pressure readings. All data were aggregated at the school level. 

They found that school participation in the CEP was associated with a 2.71% decrease in the proportion of students with high blood pressure, corresponding to a 10.8% net drop over five years. School participation in CEP was also associated with a decrease in students’ average diastolic blood pressure. 

“In previous work on the health impacts of universal free school meals, our team found that adoption of free meals is associated with decreases in average body mass index scores and childhood obesity prevalence, which are closely linked to risk of high blood pressure,” said Jessica Jones-Smith, a professor of health, society and behavior at the University of California Irvine’s Joe C. Wen School of Population & Public Health and senior author of the study. Jones-Smith conducted much of this research while on faculty at the UW School of Public Health. “So in addition to directly affecting blood pressure through provision of healthier meals, a second pathway by which providing universal free meals might impact blood pressure is through their impact on lowering risk for high BMI.” 

Improved nutrition of school meals may have helped drive the decrease, researchers said. The 2010 law that established the CEP also created stronger nutritional requirements for school meals. As a result, those meals now more closely resemble the Dietary Approaches to Stop Hypertension (DASH) diet, which studies have shown to be an effective tool for managing hypertension. 

Despite the evidence supporting the DASH diet’s effectiveness, public health officials previously lacked an effective mechanism to encourage people with high blood pressure to follow its recommendations. “We know there are a lot of barriers to people eating this diet,” Localio said, but the combination of universal free meals and increased nutritional standards likely helped students overcome those barriers.

The study also contradicts the common misperception that universal free meals mostly benefit wealthier students, because students from low-income families would already receive free meals. The study sample consists primarily of low-income patients, with 85% of included students enrolled in public health insurance such as Medicaid.

“There is a perception that providing universally free school meals will only improve outcomes for students of relatively higher-income families, but our findings suggest that there are benefits for lower-income children as well,” Jones-Smith said. “Potential mechanisms for this include decreasing the income-related stigma around eating school lunch by providing it free to all students and eliminating the time and paperwork burden of individually applying, thus decreasing barriers to participation in school meals.”

These findings come at an uncertain time for universal free meals. A school is eligible to participate in the CEP if at least 25% of its students are identified as eligible for free meals via participation in a means-tested safety net program. In this way, recent cuts to the Supplemental Nutrition Assistance Program (SNAP), the nation’s largest food assistance program, may affect schools’ access to the program.

“We’re in a contentious time for public health, but it seems like there’s bipartisan support for healthy school meals,” Localio said. “There’s legislation being considered in a number of states to expand universal free meals, and these findings could inform that decision-making. Cutting funding to school meals would not promote children’s health.” 

Co-authors on the study include Paul Hebert, research professor emeritus of health systems and population health at the UW; Melissa Knox, teaching professor of economics at the UW; Wyatt Benksen and Aileen Ochoa of OCHIN; and Jennifer Sonney, associate professor of nursing at the UW. This study was funded by the Eunice Kennedy Shriver National Institute of Child Health & Human Development. 

For more information or to contact the researchers, email Alden Woods at acwoods@uw.edu.

No comments: