BECOMING HERBIVORES
Global move towards plant-based diets could reshape farming jobs and reduce labor costs worldwide, Oxford study finds
image:
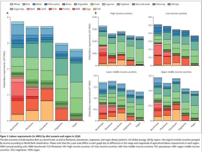
Figure 2: Labour requirements (in AWU) by diet scenario and region in 2030 The diet scenarios include baseline diets as a benchmark, as well as flexitarian, pescatarian, vegetarian, and vegan dietary patterns. (A) Global average. (B) By region—the regions include countries grouped by income according to World Bank classification. Please note that the y-axis scale differs in each graph due to differences in the range and magnitude of agricultural labour requirements in each region. AWU=annual working units. BMK=benchmark. FLX=flexitarian. HIC=high-income countries. LIC=low-income countries. LMC=low-middle-income countries. PSC=pescatarian. UMC=upper-middle-income countries. VEG=vegetarian. VGN=vegan
view moreCredit: © 2025 Yiorgos Vittis, Michael Obersteiner, H Charles J Godfray, Marco Springmann. Published by Elsevier Ltd. This is an open access article under the CC BY license (http://creativecommons.org/licenses/by/4.0/).
Key Points:
Shifting to more plant-based diets could reduce global agricultural labour needs by 5–28 per cent by 2030, the equivalent of 18–106 million full-time jobs.
The global rebalancing of food production could cut agricultural labour costs by US $290–995 billion each year, equal to around 0.2–0.6 per cent of global GDP.
Countries with livestock-heavy agriculture would see the biggest declines in labour demand, while others - especially lower-income nations - could need 18–56 million more workers to grow fruits, vegetables, legumes and nuts.
The study provides the first detailed, country-level assessment of how dietary change affects farming jobs across 179 countries.
Policy planning and support - including retraining, redeployment and investment in horticulture - will be vital to ensure a fair transition for agricultural workers.
A global shift towards healthier, more sustainable eating patterns could reshape agricultural employment across the world, according to new research from the University of Oxford’s Environmental Change Institute (ECI).
The study, published in The Lancet Planetary Health and led by Dr Marco Springmann, Senior Researcher at the ECI and Professorial Research Fellow at UCL, examined how dietary patterns such as flexitarian, pescatarian, vegetarian and vegan diets would affect the number of people working to grow, raise and harvest food in 179 countries.
By combining detailed data on labour requirements for crops and livestock with models of global food production, the researchers estimated how dietary changes could affect the agricultural workforce. They found that adopting more plant-based diets could reduce global agricultural labour needs by 5–28 per cent (equivalent to 18–106 million full-time jobs) by 2030, mainly due to lower demand for livestock production.
At the same time, around 18–56 million additional full-time workers could be needed in horticulture to produce fruits, vegetables, legumes and other plant-based foods. Overall, these changes could reduce global labour costs by US $290–995 billion per year (adjusted for purchasing power parity), equal to around 0.2–0.6 per cent of global GDP.
While these shifts could bring efficiency gains, the study emphasises the need for policy and planning to ensure that transitions are fair. Measures such as retraining, redeployment and investment in horticultural production will be crucial to support workers and rural communities as food systems evolve.*
Dr Springmann said: ‘Dietary change doesn’t just affect our health and the planet—it also has a big impact on people’s livelihoods. Moving away from meat-heavy diets reduces the need for labour in animal production but increases demand in horticulture and food services. Consistent strategies and political support will be needed to enable just transitions both into and out of agricultural labour.’
Co-authors include Professor Michael Obersteiner (Director of the ECI), Dr Yiorgos Vittis, an agricultural and food economist, and Professor Sir Charles Godfray (Director of the Oxford Martin School) at the University of Oxford.
The study used a detailed global inventory of agricultural labour requirements alongside a biophysical food-system model to estimate labour needs for 20 food groups at global, regional and national levels. It provides the most comprehensive assessment to date of how changes in diets could reshape employment in agriculture.
Read the full study in The Lancet Planetary Health: Labour requirements for healthy and sustainable diets at global, regional, and national levels: a modelling study
https://doi.org/10.1016/j.lanplh.2025.101342
-ENDS-
* The wage-cost estimates are illustrative and do not include potential economic feedbacks (for example, changes in wages or prices). The analysis covers primary production only and does not include processing or post-farm-gate employment.
Notes for editors
Three graphics available showing global labour impacts, regional differences and horticultural job gains. Download here.
The paper ‘Labour requirements for healthy and sustainable diets at global, regional, and national levels: a modelling study' will be published in The Lancet Planetary Health on Monday 3rd November.
The DOI for the paper will be: https://doi.org/10.1016/j.lanplh.2025.101342
Figure 1: Labour requirements (in AWU/kt) by food group and region in 2020 Weight is classified in line with FAOSTAT and refers to dry weights for grains, pulses, nuts, and oilseeds, and wet weights for produce (fruits, vegetables) and most animal products. AWU=annual working units.
Figure 3: Percentage changes in labour requirements for dietary changes to flexitarian, pescatarian, vegetarian, and vegan dietary patterns in 2030 The changes are estimated for the year 2030 compared with baseline projections for that year. Absolute changes are provided in the appendix (p 28). Please note that the range of values on the AWU % change scale differs slightly in each panel. AWU=annual working units. FLX=flexitarian. PSC=pescatarian. VEG=vegetarian. VGN=vegan.
Credit
© 2025 Yiorgos Vittis, Michael Obersteiner, H Charles J Godfray, Marco Springmann. Published by Elsevier Ltd. This is an open access article under the CC BY license (http://creativecommons.org/licenses/by/4.0/).
Percentage changes in labour requirements for the adoption of flexitarian diets compared to baseline diets in 2020 by region, development pathway, and year.
The development pathways include a business-as-usual pathway (mean, SSP2), a pathway with lower levels of development associated with less income growth and greater population growth (low, SSP3), and a pathway with higher levels of development associated with greater income growth and lower population growth (high, SSP1)
Credit
© 2025 Yiorgos Vittis, Michael Obersteiner, H Charles J Godfray, Marco Springmann. Published by Elsevier Ltd. This is an open access article under the CC BY license (http://creativecommons.org/licenses/by/4.0/).
About the Environmental Change Institute
The Environmental Change Institute (ECI) at the University of Oxford, established in 1991, is a world-leading centre for interdisciplinary research on environmental change. ECI brings together expertise across the natural, social, and physical sciences to better understand the causes and consequences of environmental change, and to inform policy and practice for a more sustainable and resilient future.
About the University of Oxford
The University of Oxford has been placed number 1 in the Times Higher Education World University Rankings for the ninth successive year and leads the Guardian University Guide 2026. At the heart of this success are the twin pillars of our ground-breaking research and innovation and our distinctive educational offer.
Oxford is world-famous for research and teaching excellence and home to some of the most talented people from across the globe. Our work helps the lives of millions, solving real-world problems through a huge network of partnerships and collaborations. The breadth and interdisciplinary nature of our research alongside our personalised approach to teaching sparks imaginative and inventive insights and solutions.
Journal
The Lancet Planetary Health
Subject of Research
People
Article Title
Labour requirements for healthy and sustainable diets at global, regional, and national levels: a modelling study
Article Publication Date
3-Nov-2025
Indoor hydroponic gardening improves
mental health and quality of life for cancer
patients
A study found significant improvements in well-being and diet through gardening, highlighting the potential for broader health benefits
Texas A&M University
Indoor hydroponic gardening — a method of growing plants using nutrient-rich water instead of soil — could help cancer patients develop better mental health, eat a healthier diet and enjoy a better overall quality of life.
These findings come from a pilot case-crossover study led by researchers at the Texas A&M University School of Public Health. The study was conducted with cancer patients at the Houston Methodist Cancer Center from October 2022 to September 2023, and the results were published in Frontiers in Public Health.
“The health benefits of being outdoors are well documented, and cancer patients who garden have less pain, need fewer pain medications and are less likely to have a recurrence,” said Taehyun Roh, a faculty member with the Department of Epidemiology and Biostatistics who led the study. “Since many patients don’t have access to a traditional garden or are physically unable to garden, we wanted to explore whether an easy-to-use indoor hydroponic system could offer similar benefits.”
Participants’ average age was 57 years, 47% were men, 53% were women, 59% were white and 31% were Hispanic. Most had at least some college education and private health insurance.
“Interestingly, more than 90% said they had a yard or space for a garden, but the majority said they did not garden,” Roh said.
Participants were given AeroGarden brand hydroponic kits that contained a growing container, LED grow light, liquid plant food nutrients and 12 pod seed kits for heirloom salad greens. They planted the seeds and oversaw cultivation and harvesting over an eight-week study period.
Researchers measured participants’ mental well-being, psychological distress, quality of life, fruit and vegetable intake, and pain management at baseline, then again four and eight weeks later using multiple validated surveys.
By the end of the study, researchers observed several encouraging and statistically significant improvements.
Mental well-being steadily increased over the eight weeks, and depression levels dropped significantly. Participants also reported a better overall quality of life as early as week four, with emotional and social functioning improving by week eight. In addition, appetite loss declined, and many participants said they were eating more fruits and vegetables.
“The improvements observed may be explained by gardening’s ability to engage the senses, reduce stress through autonomic nervous system modulation and foster a sense of responsibility and control,” Roh said.
Roh noted that although the results are promising, the study has limitations typical of a pilot project, including a small sample size, short study duration and no control group. Larger-scale studies are needed to confirm the findings.
“Even so, indoor hydroponic gardening shows real potential as a supportive intervention in cancer care — and perhaps beyond,” Roh said. “We hope that these findings could extend to all people who lack access to conventional gardening or to nature, enabling them to increase their overall well-being.”
This work was supported by the Center for Health and Nature, a collaboration between Houston Methodist Hospital, Texan by Nature and Texas A&M Health.
Other contributors to the study included School of Public Health graduate students Anisha Aggarwal, Nishat Tasnim Hasan and Nusrat Fahmida, along with Charles Hall, Ellison Chair of International Floriculture and professor with the Texas A&M College of Agriculture and Life Sciences, and colleagues from Houston Methodist.
By Ann Kellett, Texas A&M University School of Public Health
Journal
Frontiers in Public Health
Method of Research
Observational study
Subject of Research
People
Article Title
Indoor hydroponic vegetable gardening to improve mental health and quality of life in cancer patients: a pilot study
No comments:
Post a Comment