Study: Public private partnerships better at promoting equity than widely assumed
University of Maryland researchers find P3 projects set higher DBE goals compared to “design-bid-build”
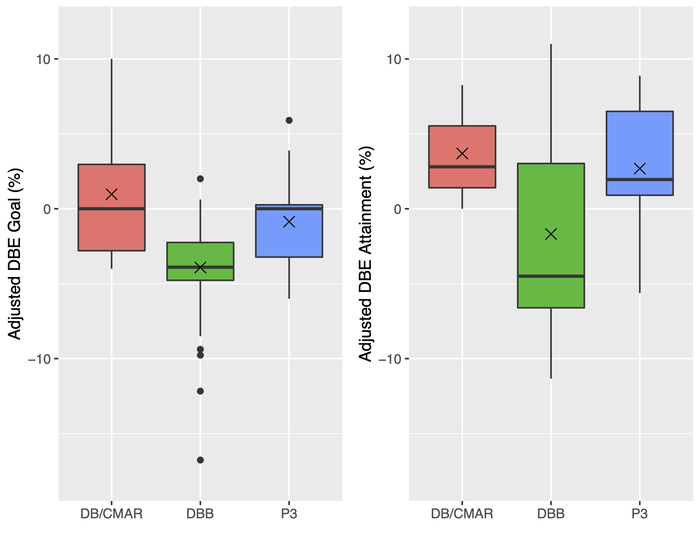
Peer-Reviewed PublicationIMAGE: DISTRIBUTIONS OF ADJUSTED DBE GOAL AND ADJUSTED DBE ATTAINMENT BY DELIVERY METHOD view more
CREDIT: A. JAMES CLARK SCHOOL OF ENGINEERING. UNIVERSITY OF MARYLAND
COLLEGE PARK, Maryland--Public private partnerships have a better track record in promoting equity than many assume, researchers at the University of Maryland’s (UMD) A. James Clark School of Engineering have found.
In fact, they generally set higher U.S. Department of Transportation’s (USDOT) Disadvantaged Business Enterprise (DBE) program goals than do Design-Bid-Build (DBB) projects, the findings suggest.
The newly-released study, conducted by UMD civil and environmental engineering professor Qingbin Cui and doctoral student Kunqi Zhang, and published this month by Transportation Research Record, is the first ever to empirically test how different delivery methods correlate with the setting and attainment of DBE goals--typically expressed in terms of the percentage of contract dollars expected and actually awarded to minority and women-owned businesses that participate in federally-funded transportation projects.
Drawing from the U.S. Major Highway Projects Database, Cui and Zhang sampled 134 federally assisted contracts. Linear regression models created by the team showed that two delivery methods--Design Build/Construction Manager at Risk and P3--outpace DBB in setting equity-related goals.
“In this case, conventional wisdom turns out to be wrong,” Cui said.
In Ohio, for instance, value-weighted DBE goals stood at 14.3% for P3, 10.7% for Design Build/Construction Manager at Risk, and 9.2% for DBB; in Texas, the numbers were 12.8%, 9.9%. And 8.0%. Similar trends were found nationwide, and DBE goals were also found to be the most robust predictor of actual DBE attainment.
Contract size is an important factor, Cui and Zhang found: the larger the contract, the more opportunities for subcontractors, in turn fostering a greater capacity to meet DBE goals. And both P3 and DB/CMAR dwarf DBB when it comes to contract size, with average amounts of $954.2 million, $466.6 million, and $89.1 million, respectively.
“Larger-scale contracts offer more opportunities for business that might otherwise not be able to get a foot in the door,” Zhang said.
P3 projects may also have an incentive to promote diversity and equity because of the amount of public scrutiny these large, high profile projects often generate. “There’s a public relations component,” Cui said. “Companies involved in these projects are in the media spotlight and they want to be seen as doing the right thing.”
Cui and Zhang conducted their research in partnership with the Maryland Transportation Institute, a UMD research hub that brings together experts from across the University of Maryland System.
The primary source for the study--the U.S. Major Highway Projects Database--was also developed at UMD, under Cui’s direction. Unveiled in 2019, the tool covers nearly two decades of highway projects and allows researchers a ready means to make cross-project comparisons.
###
The A. James Clark School of Engineering at the University of Maryland serves as the catalyst for high-quality research, innovation, and learning, delivering on a promise that all graduates will leave ready to impact the Grand Challenges of the 21st century. The Clark School is dedicated to leading and transforming the engineering discipline and profession, to accelerating entrepreneurship, and to transforming research and learning activities into new innovations that benefit millions.
JOURNAL
Transportation Research Record
DOI
10.1177/03611981211031210
DOI
10.1177/03611981211031210
ARTICLE TITLE
Public–Private Partnership and Social Equity: An Empirical Study of the Disadvantaged Business Enterprise Program
ARTICLE PUBLICATION DATE
28-Jul-2021
No comments:
Post a Comment