New forecasting model pinpoints what moves clean energy stocks
Shanghai Jiao Tong University Journal Center
image:
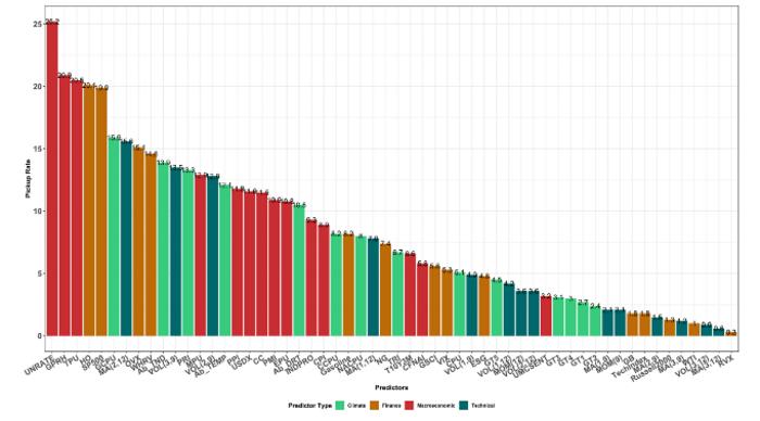
Macroeconomic predictors dominate the pick-up rate, with UNRATE ranking the highest at 25.64%, followed by GPRH at 20.86%, and TPU at 20.80%. These predictors capture key aspects of labor market dynamics, geopolitical risks, and trade policy uncertainty. This aligns with Baumeister et al. (2022), who demonstrated that macroeconomic indicators, such as unemployment rates and economic activity indices, are robust predictors of energy-related market performance.
view moreCredit: Xinling Liu (Southeast University, China) Binjie Wang and Jianhao Xue (Nanjing University of Aeronautics and Astronautics, China) Qunwei Wang (Nanjing University of Aeronautics and Astronautics, China) Xingyu Dai (Nanjing University of Aeronautics and Astronautics, China) Xuan-Hoa Nghiem (Vietnam National University, Vietnam)
Background and Motivation
As the global energy transition accelerates, clean energy stocks (CES) have become a key asset class in financial markets. However, CES returns are driven by a complex interplay of macroeconomic trends, climate policies, and technological shifts, making them far harder to predict than traditional financial assets. Addressing this challenge, China Finance Review International (CFRI) presents the article “Clean energy stock returns forecasting using a large number of predictors: which play important roles?” This article explores how integrating 56 predictors from technical, macroeconomic, climate risk, and financial domains can significantly improve clean energy stock (CES) forecasting accuracy.
Methodology and Scope
This study develops a comprehensive forecasting framework incorporating 56 predictors across technical, macroeconomic, climate risk, and financial categories, using monthly data from the WilderHill Clean Energy Index (2009–2023). Advanced econometric methods—including LASSO, Group LASSO, quantile regression, and model combination techniques—are employed to tackle multicollinearity, overfitting, and the challenges of high-dimensional data. The analysis systematically examines the time-varying importance of different predictor groups and evaluates their effectiveness over multiple forecasting horizons and rolling time windows.
Key Findings and Contributions
- Macroeconomic dominance: Economic indicators like CFNAI are the most stable and powerful predictors, especially during periods of market volatility.
- Time-varying climate risk: The influence of climate policy uncertainty and extreme weather fluctuates significantly with policy changes and seasonal effects.
- Short-term power of technical signals: Momentum (MOM) and volume-based signals (OBV) provide valuable short-term forecasting power during rapid market swings.
- Innovation in grouping and quantile analysis: By using group regularisation (Group LASSO) and quantile regression, the study uncovers synergies between predictor groups and exposes tail risk dynamics.
- Research contribution: This is the first systematic integration of 56 heterogeneous predictors into a dynamic model tailored for clean energy markets, offering new methodological tools for dimension reduction and factor selection in high-dimensional finance.
Why It Matters
- Theoretical value: It breaks through traditional single-factor or single-model frameworks, demonstrating how multidimensional factors interact to shape returns.
- Practical value: It provides investors with evidence-based signals for optimising asset allocation, and helps policymakers gauge how markets react to climate policy interventions.
Practical Applications
- For Researchers: Provides a comprehensive empirical framework for multi-factor, high-dimensional forecasting in clean energy finance, incorporating macroeconomic, climate, technical, and financial predictors. Demonstrates the effectiveness of regularisation and quantile regression methods for variable selection and forecasting, offering methodological guidance for future research.
- For Investors: Identifies the most reliable indicators (such as macroeconomic variables and market volatility signals) to support investment decision-making and risk management in the clean energy sector. Highlights the changing importance of predictors under different market conditions, helping investors refine timing and asset allocation strategies.
- For Policymakers: Reveals the time-varying impact of climate policy and macroeconomic shocks on clean energy stock returns, offering insights for dynamic and responsive policy design. Provides empirical evidence to support the evaluation of climate and energy policies' effects on financial market stability.
Discover high-quality academic insights in finance from this article published in China Finance Review International. Click the DOI below to read the full-text original! Open access for a limited time!
Journal
China Finance Review International
Method of Research
News article
Article Title
Clean energy stock returns forecasting using a large number of predictors: which play important roles?
Article Publication Date
15-Jun-2025
No comments:
Post a Comment