Meditation to treat depression and gaming addiction
PNAS Nexus
image:
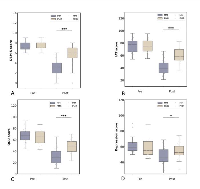
Outcome measures for mindfulness meditation (MM) and progressive muscle relaxation (PMR) treatments. Changes for Internet gaming disorder participants from pre- to post-treatment in the MM and PMR groups in DSM-5 internet gaming scores (A), Internet Addiction Test scores (B), craving scores (C), and depression scores (D). *P < 0.05, ***P < 0.001.
view moreCredit: Luo et al.
Mindfulness meditation may help people struggling with concurrent depression and Internet gaming disorder, according to a study. Guang-Heng Dong and colleagues treated 59 people with depression and Internet gaming disorder (IGD)—which is characterized by excessive and dysregulated video game playing. About a third of people struggling with IGD also suffer from depression. For some, gaming becomes the only way to feel pleasure in an otherwise painful or colorless world. Of the 59 participants, 27 engaged in progressive muscle relaxation exercises and 32 engaged in mindfulness meditation training tailored for addiction. For example, participants were taught to observe and experience their cravings as they rose and then dissipated, like a wave. Those who engaged in mindfulness meditation training for four weeks, with two 2.5–3.5-hour sessions per week, showed a significant decrease in depressive symptoms, a significant decrease in scores on the Internet Addiction Test, and a significant reduction in craving for video games. Participants who engaged in progressive muscle relaxation showed less improvement in symptoms. Brain imaging showed that meditation practice decreased brain responses to gaming cues and increased activity in the lentiform nucleus, which could potentially indicate lessening anhedonia—dysfunction of the pleasure-seeking and pleasure-enjoying system. According to the authors, mindfulness meditation is a promising treatment for IGD and depression when they occur together.
Journal
PNAS Nexus
Article Title
Mindfulness meditation reduces symptoms and modulates neural circuitry in comorbid internet gaming disorder and depression
Article Publication Date
23-Sep-2025
COI Statement
The authors report no conflicts of interest with respect to the content of this manuscript. Dr Potenza discloses that he has consulted for and advised Baria-Tek and Boehringer Ingelheim; been involved in a patent application with Yale University and Novartis; received research support from the Mohegan Sun Casino and the Connecticut Council on Problem Gambling; consulted for or advised legal, nonprofit, healthcare, and gambling entities on issues related to impulse control, internet use, and addictive behaviors; performed grant reviews; edited journals/journal sections; given academic lectures in grand rounds, CME events, and other clinical/scientific venues; and generated books or chapters for publishers of mental health texts. The other authors report no disclosures.
No comments:
Post a Comment