Tuesday, December 02, 2025

 

People who received emergency or hospital care for hallucinogens six times more likely to be diagnosed with mania




Those hospitalized for hallucinogens also had four-fold increased risk of bipolar diagnosis




PLOS

People who received emergency or hospital care for hallucinogens six times more likely to be diagnosed with mania 

image: 

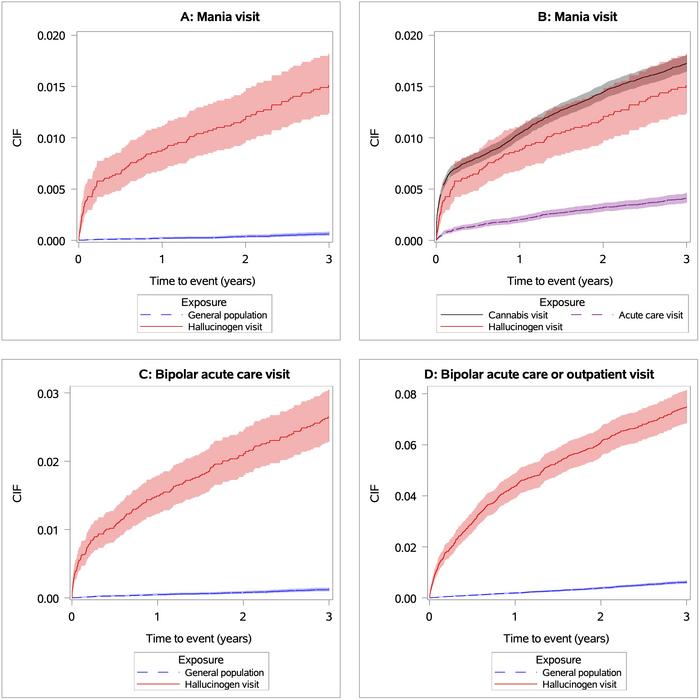
Cumulative incidence function (CIF) curves comparing the risk of mania and bipolar disorder acute care over three years.

view more 

Credit: Myran DT et al., 2025, PLOS Medicine, CC-BY 4.0 (https://creativecommons.org/licenses/by/4.0/)




People who have received emergency or hospital care in Canada due to hallucinogen use have a six-fold increased risk of receiving care for mania in the next three years, according to a study published December 2nd in the open-access journal PLOS Medicine by Daniel Myran from North York General Hospital in Canada and colleagues.

Use of hallucinogens such as ketamine, lysergic acid diethylamide (LSD) or psilocybin has been increasing, both recreationally and in medical contexts for treatment of conditions such as depression or post-traumatic stress disorder. But there are safety concerns that these drugs might induce mania or trigger the development of bipolar disorder (BD) in people at risk for the condition. To better understand the association between hallucinogen use and mania, the authors of this study collected data on hospitalizations and emergency department (ED) visits for those using hallucinogens, those hospitalized for other causes, and the general population between January 2008 and December 2022. They compared the groups for the likelihood of requiring an ED visit or hospitalized for mania, or being diagnosed with BD in the subsequent three years.

By comparing records from 7,285 patients who received acute care for hallucinogen use to 78,201 patients hospitalized for other causes, the researchers found that patients with an ED visit or hospitalization for hallucinogen use were six times more likely to receive treatment for mania within the next three years, and four times more likely to be diagnosed with BD compared to those hospitalized for other causes. The risk of later mania-related care was comparable to patients with ED or hospital care for cannabis use, which has previously been associated with an increased risk of mania. Two-thirds of those receiving care for hallucinogens had prior visits for substance use, and nearly half also had prior visits for mental health care.

Due to the timing of the records examined, the authors note that most of the cohort was likely exposed non-medically. The results are only limited to people who needed to receive urgent health care, they say. The results may not apply to the majority of people who used hallucinogens and did not require subsequent urgent healthcare related to the hallucinogen use. However, the authors suggest that use of hallucinogens that results in the need for urgent health care may increase the risk of later developing mania or BD. The authors state, “the findings may be due to ED or hospital care involving hallucinogen use occurring in individuals at greater risk for mania or BD rather than a direct risk of hallucinogens.”

“Our study showed a strong association between hallucinogen use that requires care in the emergency room or hospital and future risk of mania and bipolar disorder,” says Daniel Myran.

“There has been a large increase in interest in the use of hallucinogens, often paired with therapy, to treat some mental health disorders. The current study helps highlight that hallucinogen use outside of trial settings may have important risks for a subset of people who use them,” adds Myran.

Coauthor Marco Solmi states, “Our results fill an important gap around the complexity of therapeutic versus safety profile of hallucinogen use. Future projects will need to identify predictors of beneficial versus harmful outcomes at the individual level.”


In your coverage, please use this URL to provide access to the freely available paper in PLOS Medicinehttps://plos.io/4ojyw7n

Citation: Myran DT, MacDonald-Spracklin R, Pugliese M, Gibb M, Fiedorowicz JG, Kaster TS, et al. (2025) Hospital-based care for hallucinogens and risk of mania and bipolar disorder: A population-based cohort study. PLoS Med 22(12): e1004805. https://doi.org/10.1371/journal.pmed.1004805

Author countries: Canada

Funding: see manuscript

No comments: