It’s possible that I shall make an ass of myself. But in that case one can always get out of it with a little dialectic. I have, of course, so worded my proposition as to be right either way (K.Marx, Letter to F.Engels on the Indian Mutiny)
Sunday, May 19, 2024
Human activity over natural inputs determines the bacterial community in an ice core from the Muztag ata glacier
SCIENCE CHINA PRESS
IMAGE:
THE LOCATION OF MUZTAG ATA GLACIER ON THE TIBETAN PLATEAU AND THE INFLUENCE OF WESTERLY JET AND INDIAN MONSOON ARE SHOWN IN PANEL A. THE ICE CORE SAMPLING STRATEGY IS ILLUSTRATED IN PANEL (B). BRIEFLY, THE 74 M ICE CORE WAS CUT INTO 10 TO 15 CM SECTIONS AND DATED, THEN SECTIONS WITH ENVIRONMENTAL PROXIES AVAILABLE ARE USED FOR DNA EXTRACTION AND BACTERIAL 16S RRNA GENE AMPLICON SEQUENCING.
This study is led by Dr. Yongqin Liu (Institute of Tibetan Plateau Research, Chinese Academy of Sciences). The Tibetan Plateau (TP) has the third-largest number of glaciers after the Antarctic and Greenland. Bacteria, deposited on glacier surfaces through dry and wet deposition, undergo in-situ growth and are subsequently preserved in ice cores following environmental selection pressures such as UV radiation and low temperatures. Since glacier bacteria are largely transported from distant or local sources by atmospheric circulation, changes in source ecosystems can also affect the composition of surface glacier bacteria. Therefore, the characteristics of bacterial communities in ice cores can serve as indicators of past climates and human activities.
The team investigated the bacterial community from a 74 m ice core of Muztag ata glacier on the Tibetan Plateau to link biological indicators with past climate and anthropogenic activities. They observed an increase in bacterial richness throughout the ice core, which was associated with higher NH+4, an indicator of agricultural development. Meanwhile, the evenness demonstrated negative correlations with DOC and MAP, and positive correlation with δ18O, Na+, K+, Mg2+, Ca2+, Cl−, SO42-, and NO3-. These indicators collectively offer promising insights for inferring past climate and environmental changes.
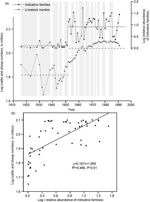
The researchers further investigate the composition of bacterial communities in ice cores. Cluster analysis at the bacterial family level indicates three distinct groupings of samples. Through cluster analysis at the bacterial family level, they uncovered three distinct groupings of samples. Cluster A encompasses the years 1953 to 1991, Cluster B consists of 11 samples from 1933 to 1951, while the majority of samples in Cluster C are dated between 1907 and 1930. It was found that the bacterial community composition was shaped by a combination of human activity, natural inputs, and air temperature, with a pronounced human influence becoming evident after the 1950s. Furthermore, the relative abundance of animal gut-associated bacteria, including Aerococcaceae, Nocardiaceae, Muribaculaceae, and Lachnospiraceae, was associated with livestock number changes in the Central Asian region. Together with other bacterial lineages, they jointly explained 59.8% of the livestock number changes.
"These new findings not only quantify the relationship between bacterial diversity and community composition with past climates and human activities but also highlight how changes in land use, driven by agriculture and livestock, intensify the presence of potentially harmful bacteria on glaciers. This enhances our understanding of regional climate and human activities." Dr. Liu says.
This study provides a comprehensive analysis of the century-long dynamics of bacterial communities in the Muztag Ata ice core. The identified bacterial markers offer valuable insights into past environmental conditions and human activities in the source regions, underscoring the microbial potential in ice core climate studies.
The linear regression between bacterial richness (a) and evenness (b) with the dated ice core age is shown. (c) shows the correlation between bacterial richness and evenness with the measured environmental proxies. Significant correlations (at P<0.05) are marked with asterisks. rBC, refractory black carbon; MAP, mean annual precipitation; DOC, dissolved organic carbon.
The community structure variations are visualized based on the Bray- Curtis dissimilarity of bacterial community at the family-level, following Hellinger transformation. Panel (a) shows the hierarchical clustering using complete linkage approach, panel (b) shows the principal component ordination plot with the quadrants labelled, panel (c) shows the distance-based linear modelling
results and the axes are labelled based on human influence (inferred from NH4+ and rBC patterns) and temperature (inferred from δ18O pattern).
Panel (a) shows the annual changes in the relative abundance of animal husbandry indicative lineages (Aerococcaceae, Nocardiaceae, Muribaculaceae, and Lachnospiraceae) and animal stock numbers (cattle and sheep) across the ice core. Panel (b) shows the Pearson correlation between the relative abundance of indicative lineages and animal stock numbers. For panel (a), grey areas represent the consistent year-to-year changing patterns (increase or decrease). The average value before and after 1950 was labelled with dashed lines. Animal stock numbers were obtained from the Russian Agricultural Statistics at https://www.ier.hit-u.ac.jp/rrc/English/pdf/RRC_WP_No67.pdf.
No comments:
Post a Comment